Denne sektion indeholder følgende emner:
Sådan bruges økonomiske oversigter
Finansielle nøgletal for planlægning
Angive indstillinger for økonomisk planlægning
Angive indstillinger for finansielle nøgletal på systemniveau
Angive indstillinger for finansielle nøgletal på investeringsniveau
Administrere planlagt omkostning og planlagt udbytte
Administrere budgetterede omkostninger og udbytte
En økonomisk oversigt specificerer budgetoplysninger på højt niveau for investeringer. Det er vigtigt at definere og registrere oplysninger om planlagte og budgetterede omkostninger og udbytte nøjagtigt for at kunne vurdere og analyse investeringer.
De værdier, som du angiver, anvendes over én tidsperiode - fra investeringens startdato til afslutningsdatoen. Værdierne anvendes kun på denne investering og ikke på nogen af dens underordnede eller overordnede investeringer.
Hvis du opretter en detaljeret omkostnings-, budget- eller udbytteplan efter definering af en økonomisk oversigt, tilsidesætter de detaljerede økonomiske plandata oversigtsdataene. Felterne på oversigtssiden bliver skrivebeskyttede.
Brug en økonomisk oversigt til at gøre følgende.
Brug følgende finansielle nøgletal til at evaluere dine udgifter for individuelle investeringer, og bestem, hvilke investeringer du vil forfølge på porteføljeniveau:
Eksempel: Bruge finansielle nøgletal til at træffe finansieringsbeslutninger
Chefen for Forward Inc vil træffe finansieringsbeslutninger for regnskabsåret 2011 baseret på IRR, MIRR og tilbagebetalingsperiode for individuelle projekter. Projektlederen bruger en omkostningsplan til at oprette omkostningsprojektioner for tre projekter, der foreslås. Projektlederen bruger også en udbytteplan til at oprette udbytteprojektioner for to af projekterne. Udbytteplanerne er knyttet til de tilsvarende omkostningsplaner. For det tredje projekt bruges en økonomisk oversigt til at registrere projekterede omkostninger og udbytter for en given tidsperiode. Chefen opretter en portefølje, der omfatter alle projekterne, og gennemfører følgende trin:
Følgende finansielle nøgletal gør det lettere at evaluere dine planer:
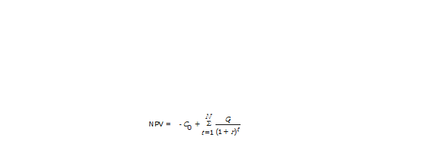
Viser den aktuelle nettoværdi for denne investering ved at beregne de samlede kapitalomkostninger og en række fremtidige betalinger og indkomst. Denne metrik beregnes vha. følgende formel:

Hvor
Viser forholdet af penge, der er vundet eller tabt på denne investering i forhold til mængden af penge, der er investeret. Denne metrik beregnes vha. følgende formel:

Hvor
Viser den Internal Rate of Return (interne forrentning) eller den diskonto, der bruges til at opnå nul NPV for en investering. Brug IRR som en alternativ metode til at evaluere en investering uden at anslå diskontoen. CA Clarity PPM beregner IRR ud fra ét af følgende:
Denne metrik beregnes vha. følgende formel:

Hvor
Viser den Modified Internal Rate of Return (modificerede interne forrentning) eller den sats, der bruges til at måle, hvor attraktiv denne investering er. Brug MIRR som del af en kapitalbudgetteringsproces for at klassificere forskellige alternative investeringsmuligheder. Hvor der i IRR antages, at pengestrømmene fra en investering geninvesteres ved IRR, antages der ved MIRR, at hele pengestrømningen geninvesteres ved kapitelomkostning. CA Clarity PPM beregner MIRR ud fra ét af følgende:
Denne metrik beregnes vha. følgende formel:
![]()
Hvor
Viser den dato, hvor den forventede pengestrøm svarer til udlægget til en investering. Datoen for nulresultat svarer til tilbagebetalingsperioden.
Viser antallet af perioder (i måneder), der kræves for at summen af de forventede pengestrømme svarer til det indledende udlæg for en investering. Tilbagebetalingsperioden svarer til datoen for nulresultat og tager værdien af den indledende investering i betragtning. Denne værdi er del af de omkostninger, der er inkluderet i den første periode af en given tidsperiode.
Tilbagebetalingsperiode er afledt af ét af følgende:
Følgende regler anvendes til beregning af IRR, MIRR, Tilbagebetalingsperiode og andre nøgletal for investeringer, der omfatter underordnede investeringer. De finansielle nøgletal beregnes ud fra det sammenlagte beløb for projekter og underprojekter.
I investeringshierarkiet vises de finansielle nøgletal for selve investeringen og akkumuleres ved siden af den overordnede investering.
Du kan angive indstillingerne for at definere, hvordan de økonomiske oversigter interagerer med detaljerede økonomiplaner for dine investeringer.
Følg disse trin:
Oversigtssiden vises.
Siden med egenskaber vises.
Egenskaberne for budget vises.
Definerer valutaen for investeringen.
Standard: Systemvaluta
Angiver, om budgetværdierne i budgetegenskaberne for en investering svarer til de planlagte værdier. Hvis der findes en detaljeret budgetplan for investeringen, er alle feltværdierne i afsnittet Budget skrivebeskyttede. Felterne afspejler værdierne i den detaljerede budgetplan. Når markeringen i afkrydsningsfeltet er fjernet, kan du redigere budgetfelterne.
Standard: Valgt
Angiver, om finansielle nøgletal for investeringen beregnes automatisk. Hvis den ikke er markeret, kan du definere de finansielle nøgletal manuelt.
Standard: Valgt
Du kan indstille de samlede årlige kapitalomkostninger og den årlige geninvesteringssats for investeringer på systemniveau. I CA Clarity PPM anvendes disse værdier til at beregne MIRR for planlagte omkostninger og budget for investeringer. Hvis du ændrer værdierne for samlede kapitalomkostninger og geninvesteringssats på siden med systemindstillinger, ændres de relevante værdier ligeledes på siden med budgetegenskaber for investeringen. Det tilsvarende værdier ændres kun, hvis du vælger muligheden for at beregne finansielle nøgletal automatisk og bruge systemsatser for samlede kapitalomkostninger og geninvestering. Nøgletallene for alle investeringer, der bruger systemindstillinger, genberegnes. Dette sker i baggrunden og kan tage et stykke tid, hvis systemet skal behandle mange investeringer.
Du kan tilsidesætte værdier på systemniveau ved at redefinere disse værdier på investeringsniveau på siden med budgetegenskaber.
Følg disse trin:
Siden med systemindstillinger vises.
Definerer den årlige finansieringssats for den kapitel, der er lånt til en investering. Denne værdi afspejles som systemsatsen for samlede kapitalomkostninger i afsnittet Økonomisk planlægning på siden med egenskaber for investeringsbudget.
Definerer den årlige rente for at geninvestere positive pengestrømme for en investering. Denne værdi afspejles som systemsatsen for geninvestering i afsnittet Økonomisk planlægning på siden med egenskaber for investeringsbudget.
Du kan konfigurere de samlede kapitalomkostninger og geninvesteringssats for en investering på siden med budgetegenskaber. Disse indstillinger på investeringsniveau tilsidesætter alle indstillinger på systemniveau.
Satserne på investeringsniveau bruges til at beregne finansielle nøgletal for den enkelte investering.
Følg disse trin:
Egenskaberne for budget vises.
Angiver, om du vil bruge de samlede kapitelomkostninger på systemniveau for denne investering. Fjern markeringen i dette afkrydsningsfelt, og indtast en værdi i det tilsvarende Investeringssats-felt, der findes under feltet Systemtakst. Investeringssatsen definerer den årlige finansieringssats for den kapitel, der er lånt til denne investering.
Standard: Valgt
Angiver, om du vil bruge geninvesteringssatsen på systemniveau for denne investering. Fjern markeringen i dette afkrydsningsfelt, og indtast en værdi i det tilsvarende Investeringssats-felt, der findes under feltet Systemtakst. Investeringssatsen definerer den årlige rente, der bruges ved geninvestering af positive pengestrømme for denne investering.
Standard: Valgt
Definerer de indledende investeringsomkostninger, der bruges i alle beregninger af finansielle nøgletal. Du kan konfigurere dette felt, så det viser sammenlagte værdier for investeringer og underordnede investeringer.
Hvis du ikke angiver en værdi, behandles indledende investering som nul. En negativ værdi for indledende investering er tilladt.
Opret dataene for planlagte omkostninger og planlagte udbyttedata for din investering vha. afsnittet Planlagt i budgetegenskaberne. Hvis der findes en omkostningsplan og udbytteplan for investeringen, skal du få vist de forudfyldte data for planlagte omkostninger og planlagt udbytte i egenskaberne for budget.
Følg disse trin:
Egenskaberne for budget vises.
Definerer den samlede, planlagte omkostning for investeringen. Denne værdi fordeles mellem Startdato for planlagt omkostning og Slutdato for planlagt omkostning.
Definerer den dato, hvor de planlagte omkostninger for denne investering starter. Dette felt udfyldes fra den startdato, der er defineret i investeringstidsplanen.
Definerer den dato, hvor de planlagte omkostninger for denne investering slutter. Dette felt udfyldes fra den afslutningsdato, der er defineret i investeringstidsplanen.
Definer det samlede, planlagte udbytte, som du kan opnå, fra denne investering.
Definerer den dato, hvor det planlagte udbytte for denne investering.
Definerer den dato, hvor det planlagte udnytte afsluttes for denne investering.
Vis følgende planlagte omkostnings- og udbyttemetrikker i afsnittet Planlagt på siden med budgetegenskaber. Brug disse metrikker til at evaluere den værdi, som investeringen giver virksomheden. Hvis felterne for planlagte omkostninger og planlagt udbytte ikke er udfyldt, viser de planlagte metrikker ingen værdi:
Opret dataene for budgetteret omkostning og udbytte til din investering vha. afsnittet Budget i budgetegenskaberne. Hvis der findes et godkendt budget og en godkendt udbytteplan for investeringen, skal du få vist de forudfyldte data for budgetomkostninger og udbytte i egenskaberne for budget.
Følg disse trin:
Egenskaberne for budget vises.
Definerer den godkendte omkostning for denne investering.
Dette felt udfyldes og skrivebeskyttes automatisk i følgende tilfælde:
Definerer datoen, hvor de budgetterede omkostninger for denne investering starter.
Hvis afkrydsningsfeltet Budget svarer til planlagte værdier er markeret, er dette felt skrivebeskyttet og udfyldes fra den startdato, der er defineret i investeringstidsplanen.
Definerer den dato, hvor de budgetterede omkostninger for denne investering slutter.
Hvis afkrydsningsfeltet Budget svarer til planlagte værdier er markeret, er dette felt skrivebeskyttet og udfyldes fra den slutdato, der er defineret i investeringstidsplanen.
Definer det samlede, budgetterede udbytte, som du kan opnå, fra denne investering.
Dette felt udfyldes automatisk og er skrivebeskyttet i følgende tilfælde:
Viser den dato, hvor de budgetterede udbytte starter for denne investering.
Hvis afkrydsningsfeltet Budget svarer til planlagte værdier er markeret, er dette felt skrivebeskyttet og udfyldes fra feltet Startdato for planlagt udbytte.
Viser den dato, hvor det budgetterede udbytte slutter for denne investering.
Hvis afkrydsningsfeltet Budget svarer til planlagte værdier er markeret, er dette felt skrivebeskyttet og udfyldes fra feltet Slutdato for planlagt udbytte.
Du kan få vist budgetomkostningerne og udbyttemetrik i afsnittet Budget på siden med budgetegenskaber. Brug disse metrikker til at evaluere den værdi, som en investering giver organisationen. Hvis felterne for budgetterede omkostninger og udbytte ikke er udfyldt, viser de planlagte metrikker uden nogen værdi:
|
Copyright © 2013 CA.
Alle rettigheder forbeholdes.
|
|