Vorige onderwerp: Financiële overzichten gebruikenVolgende onderwerp: Financiële meetwaarden berekenen voor projecten en subprojecten


Financiële meetwaarden voor planning

Gebruik de volgende financiële meetwaarden om uw uitgaven voor afzonderlijke investeringen te evalueren en besluiten te nemen over investeringen die u doet op portfolioniveau:

Voorbeeld: Financiële meetwaarden gebruiken om financieringsbesluiten te nemen

De CIO van Forward Inc wil voor het boekjaar 2011 financieringsbeslissingen nemen op basis van IR, AIR en de terugbetalingsperiode voor afzonderlijke projecten. De projectmanager gebruikt een kostenplan voor het opstellen van kostenramingen voor drie projecten waarvoor een offerte wordt gemaakt. De projectmanager gebruikt ook een opbrengstenplan om opbrengstenprognoses te maken voor twee van de projecten. De opbrengstenplannen hangen samen met de bijbehorende kostenplannen. Voor het derde project wordt een financieel overzicht gebruikt om de verwachte kosten en opbrengsten vast te leggen voor een bepaald tijdskader. De CIO maakt een portfolio voor alle projecten en voert de volgende stappen uit:

Beschrijvingen van financiële meetwaarden

De volgende financiële meetwaarden zijn beschikbaar om u te helpen bij het evalueren van uw plannen:

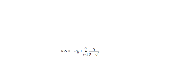
NPV

Geeft de netto contante waarde van deze investering weer door de totale kapitaalkosten en een reeks toekomstige betalingen en inkomsten te berekenen. Dit cijfer wordt berekend op basis van de volgende formule:

Met deze formule kunt u NPV berekenen

Waarbij

ROI

Geeft de verhouding weer tussen het bedrag dat is verdiend of verloren met deze investering in relatie tot het geïnvesteerde bedrag. Dit cijfer wordt berekend op basis van de volgende formule:

Met deze formule kunt u ROI berekenen

Waarbij

IR

Geeft het interne rendement weer of het kortingspercentage dat wordt gebruikt om een NPV van nul voor een investering te realiseren. Gebruik IR als een alternatieve methode voor het evalueren van een investering zonder het kortingspercentage te schatten. CA Clarity PPM berekent IR op basis van een van de volgende gegevens:

Dit cijfer wordt berekend op basis van de volgende formule:

Met deze formule kunt u IR berekenen

Waarbij

AIR

Geeft het aangepaste interne rendement weer of het percentage waarmee de aantrekkelijkheid van deze investering wordt gemeten. Gebruik AIR als onderdeel van een kapitaalbegrotingsproces om de verschillende alternatieve investeringsopties te rangschikken. Terwijl IR ervan uitgaat dat de cashflow van een investering wordt geherinvesteerd in het IR, gaat AIR ervan uit dat alle cashflow wordt geherinvesteerd voor kapitaalkosten. CA Clarity PPM berekent AIR op een van de volgende manieren:

Dit cijfer wordt berekend op basis van de volgende formule:

Met deze formule kunt u AIR berekenen

Waarbij

Break-even

Geeft de datum weer waarop de verwachte cashflow gelijk is aan de contante uitgaven voor een investering. De break-evendatum komt overeen met de terugbetalingsperiode.

Terugbetalingsperiode

Geeft het aantal perioden (in maanden) aan dat nodig is voordat het totaal van de verwachte cashflow gelijk is aan de aanvankelijke contante uitgaven voor een investering. De terugbetalingsperiode komt overeen met de break-evendatum en wordt beschouwd als de oorspronkelijke investeringswaarde. Deze waarde is onderdeel van de kosten die zijn opgenomen in de eerste periode van een bepaalde tijdsperiode.

Terugbetalingperiode wordt afgeleid op een van de volgende manieren:

Meer informatie:

Financiële meetwaarden berekenen voor projecten en subprojecten