Následující finanční metriky použijte k vyhodnocení výdajů a jednotlivých investic a k rozhodování o investicích na úrovni portfolia:
Příklad: Použití finančních metrik k rozhodování o financování
Vedoucí IT oddělení ve Forward Inc. se rozhoduje o financování projektů ve fiskálním roce 2011 na základě IRR, MIRR a období splácení jednotlivých projektů. Manažer projektu vytvoří pomocí plánu nákladů projekci nákladů u tří navrhovaných projektů. Pomocí plánu přínosů vytvoří manažer také projekci přínosů u dvou těchto projektů. Plány přínosů jsou přidruženy k odpovídajícím plánům nákladů. U třetího projektu se ke zjištění projektových nákladů a přínosů v daném časovém rámci použije finanční souhrn. Vedoucí IT oddělení připraví portfolio, které obsahuje všechny projekty, a postupuje následovně:
K dispozici jsou následující finanční metriky, které vám pomohou vyhodnotit plány:
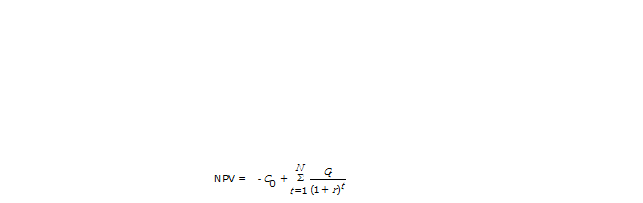
Udává čistou současnou hodnotu investice, která je dána výpočtem z celkových nákladů kapitálu a budoucích plateb a příjmu. K výpočtu této metriky slouží následující vzorec:

Přičemž platí:
Udává poměr zisků a ztrát u této investice vzhledem k množství investovaných prostředků. K výpočtu této metriky slouží následující vzorec:
![]()
Přičemž platí:
Udává interní návratnost investic nebo diskontní sazbu, která slouží k dosažení nulové čisté současné hodnoty u dané investice. IRR lze použít jako alternativní způsob vyhodnocení investice bez odhadu diskontní sazby. Aplikace CA Clarity PPM vypočítá IRR na základě těchto informací:
K výpočtu této metriky slouží následující vzorec:

Přičemž platí:
Zobrazí upravenou interní návratnost investic (MIRR) nebo sazbu používanou pro měření atraktivity investice. MIRR slouží jako součást procesu vytváření kapitálového rozpočtu s cílem porovnat různé alternativní investiční možnosti. Zatímco interní návratnost investic (IRR) předpokládá, že hotovostní toky z investice jsou znovu investovány do IRR, upravená interní návratnost investic (MIRR) předpokládá, že všechny hotovostní toky jsou znovu investovány do kapitálových nákladů. Aplikace CA Clarity PPM vypočítá MIRR na základě těchto informací:
K výpočtu této metriky slouží následující vzorec:
![]()
Přičemž platí:
Zobrazí datum, kdy očekávaný hotovostní tok vyrovná hotovostní náklady investice. Datum rovnovážného stavu se rovná období splácení.
Zobrazí dobu (v měsících) potřebnou k tomu, než se součet očekávaných hotovostních toků vyrovná počáteční hotovostním výdajům. Období splácení se rovná datu rovnovážného stavu a bere v úvahu počáteční hodnotu investice. Tato hodnota je součástí nákladů na počátku daného časového období.
Období splácení se odvozuje od jedné z následujících hodnot:
|
Copyright © 2013 CA.
Všechna práva vyhrazena.
|
|