Daily Total zIIP Demand by Service Class

ZIPENGT – Total zIIP Engine Demand Actual+Eligible
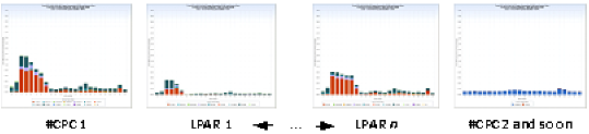
The vertical bars show total zIIP usage (zIIP actual+eligible CPU time) at the CPC level and for each PR/SM managed z/OS LPAR. For each CPC, the CPC level chart is produced first, with a SYSID value of ‘#CPC’, and is followed by the PR/SM managed z/OS LPARs for that CPC. The CPU times are divided by 3600 to convert from seconds to hours to create the chart variable ZIPENGT. Because one engine can be dispatched a maximum of one hour, per hour, this conversion allows the zIIP engine demand to be represented as physical engine hour equivalents. For example, two zIIP engines could, at full utilization, provide two hours of CPU time in one hour.
HOUR – Hour of Day
| Copyright © 2012 CA. All rights reserved. | Tell Technical Publications how we can improve this information |